7. 齒輪的強度
齒輪的設計者根據作用在齒輪上的負荷, 旋轉數, 期待壽命等要素決定齒輪的式樣。
在這里, 簡單的介紹齒輪強度中重要的彎曲強度和齒面強度。
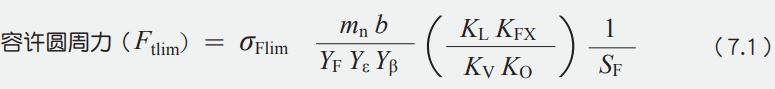
直齒輪及斜齒齒輪的彎曲強度計算公式 JGMA401-01
在輪齒上作用了超過極限值的力時, 如圖所示輪齒會從齒根部出現裂痕以致造成輪齒斷裂。彎曲強度計算公式如下所示。


圖 7.1 彎曲應力不足
| 符號 | 名稱 | 影響因素/規格等 |
| σFlim | 容許齒根彎曲應力 | 材料/熱處理 |
| mn | 法向模數 | 輪齒大小 |
| b | 齒寬 | 齒輪的大小 |
| YF | 齒形系數 | 壓力角/變位系數/齒高 |
| Yε | 重合度系數 | 嚙合率 |
| Yβ | 螺旋角系數 | 斜齒齒輪的螺旋角 |
| KL | 壽命系數 | 期待壽命 |
| KFX | 尺寸系數 | 通常取 1.00(未知) |
| KV | 動載荷系數 | 圓周速度/齒輪精度 |
| KO | 過載荷系數 | 原動力/被動機械的沖擊 |
| SF | 安全系數 | 基于安全應取 1.2 以上 |
提高彎曲強度需要將
容許圓周力計算公式(7.1)中的分母減小, 分子增大。
(a) 使用高強度材料(容許齒根彎曲壓力增加)
(b) 增大齒輪體積(大模數 / 寬齒面)
(c) 高強度齒形(減小齒形系數)
- 大壓力角 - 正變位
(d) 提高重合率(減小重合度系數)
- 小壓力角 - 增加齒高
(e)提高齒輪精度
直齒輪及斜齒齒輪的齒面強度計算公式 JGMA402-01
齒面強度是基于齒面的接觸應力計算輪齒抵抗點蝕(Pitting)發生的強度。
相對齒面強度的容許圓周力 Ftlim


圖 7.2 接觸應力
| 符號 | 名稱 | 影響因素/規格等 |
| σHlim | 容許接觸應力 | 材料/熱處理 |
| d01 | 小齒輪的分度圓直徑 | 齒輪(小)的大小(直徑) |
| bH | 有效齒寬 | 齒輪的大小 |
| i | 齒數比 ( z2 / z1 ) | 輪齒數的比 |
| ZH | 區域系數 | 螺旋角/變位系數 |
| ZM | 材料彈性系數 | 齒輪材料的配合 |
| Zε | 重合度系數 | 端面/縱向重合度 |
| Zβ | 螺旋角系數 | 設為 1.00(未知) |
| ZHL | 壽命系數 | 期待壽命 |
| ZL | 潤滑劑系數 | 潤滑油及動粘度 |
| ZR | 粗糙度系數 | 齒面的粗糙度 |
| ZV | 潤滑速度系數 | 圓周速度/表面硬度 |
| ZW | 工作硬化系數 | 大齒輪的硬度 |
| KHX | 尺寸系數 | 一般設為 1.00 |
| KHβ | 齒向載荷分布系數 | 齒輪的支撐方法/剛性等 |
| KV | 動載系數 | 圓周速度/齒輪精度 |
| K0 | 過載系數 | 原動力/被動機械的沖擊 |
| SH | 安全系數 | 基于安全應取 1.15 以上 |
提高齒面強度需要
(a)使用經過淬火處理的硬質材料 (增大容許接觸應力)
(b)增大齒輪體積 (大節圓直徑/增加有效齒寬)
(c)提高重合率(減小重合度系數)
(d)提高齒輪精度
網站齒輪強度計算機能
齒輪的強度計算方法很多, 也比較復雜。在本公司網站上可以進行 KHK 標準齒輪的強度計算。 只需輸入使用條件就可簡單地得到計算結果。 齒輪強度計算公式有很多, 本公司采用的是 JGMA( 日本齒輪工業會 ) 的計算公式。